崔嵩霖

崔嵩霖,字文山,号景长,笔名中峰,1939年生,河南长葛人,现为新疆阜康市退休工人,自幼酷爱书法,擅长诗词、对联,自修领悟各书法名家之长,研出自势笔体。
个人简介

崔嵩霖,字文山,号景长,笔名中峰,大专学历,1939年生,河南长葛人。1996年退休。自幼酷爱书法,擅长诗生联,工作之余朝夕苦习无懈。擅长右手行、楷,左手篆、隶、斗书。自1985年来多次参加本市及外地诗书画赛展多次获奖。现为九州枫林国际书画艺术研究院院士、中国当代文学研究会顾问、黄庭坚书法艺术学会艺术顾问、画圣吴道子艺术研究馆一级书画师、北京炎黄艺术诗书画研究所顾问、新疆昌吉书法家协会会员、新疆阜康市书法家协会理事、阜康市老年书协成员。

寅虎咏春全国诗书画印四绝大赛获寅虎艺术综合奖暨书法佳作一等奖,授予“中华百强书画家诗词家”称号。同年入中国书画名家上海世博国际交流展获特金奖角逐,荣获“中国世博书画名家”荣誉称号。”1985年参加阜康市春联大展,写联八副,获一等奖,诗作《墨海情》获一等奖。在情系2008迎奥运书画大赛中作品获金奖,左笔书法获二等奖。在第八届中欧文化艺术交流展中获突出贡献金奖证书、中欧文化艺术交流杰出艺术家金匾和中欧文艺交流特使称号证书。参加首届中日文化艺术交流展获金奖证书和匾牌,获“中日突出贡献艺术交流特使”荣誉称号。2008年作品入选《共和国经典诗词·格言选粹》一书。作品先后获全国特等奖多次,被授予“改革开放三十周年全国百名文化人物”称号。作品入编《中华爱国书画家精品宝典),被授予“人民功勋书画家”称号及勋章。同年作品入选《庆祝中华人民共和国成立六十周年当代诗词、格言名家精品大典》获全国三十名特等奖之一,被授予“文学之星”荣誉称号。同年又参加北京夕阳红老年书画院举办的庆澳门回归十周年书画展作品获奖入选《当代名家系列丛书》。2009年又参加纪念黄庭坚“幽兰赋”书赛,作品获金奖入编(精品集)一书。参加“中华杯诗、书、画、印大赛获佳作奖。入首届丹青绘华夏艺术大赛,获最高金奖奖项。同期参加画圣吴道子书画征稿赛走进感恩重建汶川大地震书画赛获银奖。

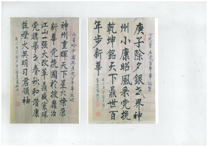
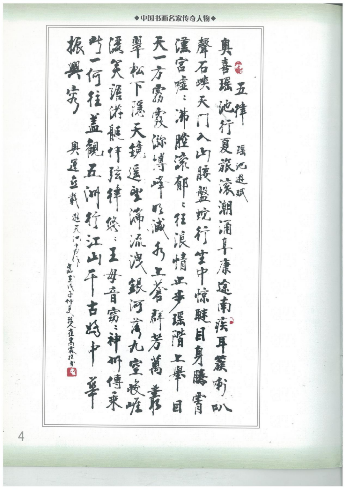
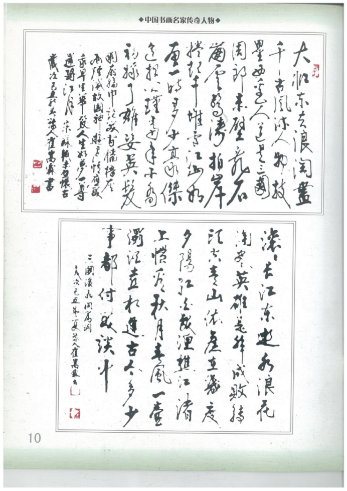
作品介绍

词条标签: